切换至 "中华医学电子期刊资源库"

中华危重症医学杂志(电子版) ›› 2025, Vol. 18 ›› Issue (05) : 372 -381. doi: 10.3877/cma.j.issn.1674-6880.2025.05.003

论著

血红蛋白与年龄比与社区获得性肺炎患者28 d死亡风险关系:基于MIMIC-Ⅳ数据库的回顾性研究
冀鹏磊, 徐亚来, 高崴崴(), 吴卓璟, 师龙龙   
  1. 450000 郑州,郑州大学第二附属医院呼吸与危重症医学科
  • 收稿日期:2025-01-17 出版日期:2025-10-31
  • 通信作者: 高崴崴
  • 基金资助:
    河南省医学科技攻关计划项目(LHGJ20230345)

Relationship between hemoglobin-to-age ratio and 28-day mortality in community-acquired pneumonia: a retrospective study based on the MIMIC-Ⅳ database

Penglei Ji, Yalai Xu, Weiwei Gao(), Zhuojing Wu, Longlong Shi   

  1. Department of Respiratory and Critical Care Medicine, the Second Affiliated Hospital of Zhengzhou University, Zhengzhou 450000, China
  • Received:2025-01-17 Published:2025-10-31
  • Corresponding author: Weiwei Gao
引用本文:

冀鹏磊, 徐亚来, 高崴崴, 吴卓璟, 师龙龙. 血红蛋白与年龄比与社区获得性肺炎患者28 d死亡风险关系:基于MIMIC-Ⅳ数据库的回顾性研究[J/OL]. 中华危重症医学杂志(电子版), 2025, 18(05): 372-381.

Penglei Ji, Yalai Xu, Weiwei Gao, Zhuojing Wu, Longlong Shi. Relationship between hemoglobin-to-age ratio and 28-day mortality in community-acquired pneumonia: a retrospective study based on the MIMIC-Ⅳ database[J/OL]. Chinese Journal of Critical Care Medicine(Electronic Edition), 2025, 18(05): 372-381.

目的

探讨血红蛋白与年龄比(HAR)对社区获得性肺炎(CAP)患者28 d内死亡的预测价值。

方法

基于美国重症监护医学信息数据库Ⅳ(MIMIC-Ⅳ),纳入符合CAP诊断标准的首次入住ICU的6 203例患者。提取人口统计学信息、合并症、生命体征、病情严重程度评分、实验室指标、治疗措施等数据。根据HAR四分位数(Q)将其分成Q1组(0.650 ≤ HAR < 1.200,1 551例)、Q2组(1.200 ≤ HAR < 1.460,1 551例)、Q3组(1.460 ≤ HAR < 1.830,1 552例)、Q4组(1.830 ≤ HAR ≤ 7.520,1 549例)。采用Kaplan-Meier生存分析、多因素Cox回归和限制性三次样条(RCS)模型来探讨HAR与CAP患者28 d病死率之间的关联,并通过构建多因素Cox模型明确HAR对患者28 d内死亡的预测价值。

结果

Q1 ~ Q4组患者年龄、体质量、性别、肿瘤、肾病、心率、脉搏血氧饱和度、急性生理学评分Ⅲ、牛津急性疾病严重度评分、血红蛋白、24 h出量、有创机械通气的使用、ICU入住天数、28 d病死率比较,差异均有统计学意义(P均< 0.05)。根据患者28 d生存情况,将6 203例患者分为生存组(4 435例)和死亡组(1 768例)。两组患者的年龄、体质量、HAR、合并症、生命体征、病情评分、实验室检查、24 h出量、有创机械通气使用率、血管活性药物使用率、住院天数以及ICU入住时间比较,差异均有统计学意义(P均< 0.05)。Kaplan-Meier生存曲线显示Q1 ~ Q4组患者的生存率存在差异(χ2 = 118.208,P < 0.001),且Q4组较Q1 ~ Q3组的生存率显著升高(χ2 = 192.768,P < 0.001)。Cox回归分析显示HAR是CAP患者28 d内死亡的独立影响因素[风险比(HR)= 0.651,95%置信区间(CI)(0.586,0.722),P < 0.001],CAP患者入住ICU后28 d病死率的HR和95%CI随着HAR四分位数的增加而降低,范围分别为1.000到0.883[95%CI(0.780,0.999)]、0.783[95%CI(0.687,0.893)]和0.534[95%CI(0.456,0.625)]。进一步使用RCS分析,结果显示HAR与入住ICU患者28 d病死率呈非线性关系,当HAR低于2.872时,死亡风险随HAR的降低急剧增加(P < 0.001)。

结论

HAR与CAP患者28 d死亡风险呈负相关,HAR水平有助于识别不良预后人群,可用于指导临床医生进行分层、早期干预。

Objective

To explore the predictive value of hemoglobin-to-age ratio (HAR) for 28-day mortality in patients with community-acquired pneumonia (CAP).

Methods

Based on the medical information mart for intensive care Ⅳ (MIMIC-Ⅳ) database of American critical care medicine, 6 203 patients who were admitted to the ICU for the first time and met the diagnostic criteria for CAP were included. Demographic information, comorbidities, vital signs, disease severity score, laboratory indicators, and therapeutic measures were extracted. Patients were divided into a Q1 group (0.650 ≤ HAR < 1.200, n = 1 551), a Q2 group (1.200 ≤ HAR < 1.460, n = 1 551), a Q3 group (1.460 ≤ HAR < 1.830, n = 1 552), and a Q4 group (1.830 ≤ HAR ≤ 7.520, n = 1 549) according to HAR values. Kaplan-Meier survival analysis, multivariate Cox regression, and restricted cubic spline (RCS) models were used to explore the association between HAR and 28-day all-cause mortality in CAP patients. The predictive value of HAR for death within 28 days was also clarified by constructing a multivariate Cox model.

Results

There were statistically significant differences in age, body weight, gender, tumor, kidney disease, heart rate, pulse oxygen saturation, acute physiology score Ⅲ, Oxford acute severity of illness score, hemoglobin, 24-hour output, invasive mechanical ventilation use, ICU stay days, and 28-day mortality among patients in the Q1-Q4 groups (all P < 0.05). Based on 28-day survival status, 6 203 patients were divided into a survival group (4 435 patients) and a mortality group (1 768 patients). The age, body mass, HAR, complication, vital signs, disease severity score, laboratory examination, 24-hour output, invasive mechanical ventilation use, vasopressor use, length of hospital stay, and ICU admission duration were compared between the two groups, and there were significant differences (all P < 0.05). The Kaplan-Meier survival curve revealed a statistically significant difference in survival rates among the Q1-Q4 groups (χ2 = 118.208, P < 0.001), with the Q4 group showing a markedly higher survival rate than the Q1-Q3 group (χ2 = 92.768, P < 0.001). Cox regression showed that HAR was an independent influencing factor for the 28-day mortality of CAP patients [hazard ratio (HR) = 0.651, 95% confidence interval (CI) (0.586, 0.722), P < 0.001]. The HR and 95%CI for 28-day mortality decreased with the increase of HAR quartiles, ranging from 1.000 to 0.883 [95%CI (0.780, 0.999)], 0.783 [95%CI (0.687, 0.893)], and 0.534 [95%CI (0.456, 0.625)] respectively. Further analysis using RCS showed that HAR had a non-linear relationship with the 28-day mortality of patients admitted to the ICU. When HAR was below 2.872, the mortality increased sharply with the decrease of HAR (P < 0.001).

Conclusions

HAR is negatively correlated with 28-day mortality in CAP patients. HAR levels can help identify patients at a higher risk of adverse outcomes, guiding clinicians in stratification and early intervention.

表1 基于HAR四分位数的4组CAP患者基线特征比较
变量 Q1组(n = 1 551) Q2组(n = 1 551) Q3组(n = 1 552) Q4组(n = 1 549) H/χ2 P
年龄[岁,MP25P75)] 82(75,88) 75(66,83) 67(59,74) 51(40,60) 3 161.874 <0.001
体质量[kg,MP25P75)] 72.10(60.17,84.63) 74.30(61.60,88.38) 78.27(65.89,93.62) 83.10(68.40,102.20) 261.672 <0.001
性别[例(%)]         58.753 <0.001
778(50.16) 777(50.10) 656(42.27) 606(39.12)    
773(49.84) 774(49.90) 896(57.73) 943(60.88)    
肿瘤[例(%)] 409(26.37) 329(21.21) 343(22.10) 168(10.85) 125.462 <0.001
肾病[例(%)] 616(39.72) 426(27.47) 306(19.72) 142(9.17) 422.453 <0.001
SpO2[%,MP25P75)] 96.68(95.20,98.14) 96.32(94.90,97.81)a 96.30(94.76,97.83)a 96.13(94.59,97.72)a 42.543 <0.001
心率[次/min,MP25P75)] 85.40(75.25,96.64) 87.52(76.11,97.96) 88.56(77.38,100.15) 92.18(80.43,105.97) 135.665 <0.001
APSⅢ[分,MP25P75)] 51(42,65) 50(39,64) 47(35,62) 42(31,59) 196.782 <0.001
OASIS[分,MP25P75)] 34(29,40) 34(28,40) 32(27,38) 31(26,37) 136.063 <0.001
血红蛋白[g/L,MP25P75)] 840(760,920) 983(878,1 094) 1 080(953,1 200) 1 190(1 035,1 345) 2 277.702 <0.001
24 h出量[mL,MP25P75)] 1 510.0(880.0,2 467.5)b 1 660.0(1 000.0,2 642.5)b 1 826.5(1 144.5,2 865.0)b 2 185.0(1 345.0,3 430.0) 215.276 <0.001
有创机械通气[例(%)] 530(34.17) 608(39.20) 659(42.46) 735(47.45) 59.981 <0.001
ICU住院天数[d,MP25P75)] 2.95(1.76,5.61) 3.15(1.75,6.42) 3.41(1.86,7.18) 3.25(1.79,7.17) 18.579 <0.001
28 d病死率[例(%)] 548(35.33) 497(32.04) 433(27.90) 290(18.72) 118.036 <0.001
表2 生存组和死亡组CAP患者的基线特征比较
变量 生存组(n = 4 435) 死亡组(n = 1 768) Z/χ2 P
年龄[岁,MP25P75)] 69.00(57.00,80.00) 72.00(61.00,82.00) 7.317 <0.001
体质量[kg,MP25P75)] 77.80(64.40,93.28) 74.62(62.00,89.80) 4.602 <0.001
HAR[MP25P75)] 1.50(1.23,1.92) 1.37(1.14,1.66) 11.029 <0.001
性别[例(%)]     1.395 0.237
2 035(45.89) 782(44.23)    
2 400(54.11) 986(55.77)    
合并症[例(%)]        
高血压 1 584(35.72) 555(31.39) 10.464 0.001
肾病 993(22.39) 497(28.11) 22.668 <0.001
肿瘤 803(18.11) 446(25.23) 39.852 <0.001
生命体征[MP25P75)]        
心率(次/min) 87.26(76.41,98.62) 91.27(79.84,103.97) 8.588 <0.001
呼吸频率(次/min) 20.14(17.62,23.21) 21.30(18.24,24.55) 8.097 <0.001
SpO2(%) 96.42(94.96,97.92) 96.22(94.57,97.81) 3.696 <0.001
评分[分,MP25P75)]        
SOFA 5.00(3.00,7.00) 7.00(4.00,10.00) 18.244 <0.001
APSⅢ 45.00(34.50,58.00) 58.00(44.00,73.00) 22.098 <0.001
OASIS 32.00(26.00,37.00) 36.00(30.00,43.00) 16.787 <0.001
GCS 15.00(14.00,15.00) 15.00(13.00,15.00) 3.401 <0.001
实验室检查[MP25P75)]        
血红蛋白(g/L) 102.00(87.50,118.00) 95.80(83.00,112.00) 9.038 <0.001
血小板(× 109/L) 202.00(142.00,278.29) 181.50(108.50,266.50) 7.699 <0.001
白细胞(× 109/L) 11.33(8.20,15.65) 12.06(8.10,17.10) 3.101 0.002
氯(mmol/L) 103.00(99.00,107.00) 102.00(98.00,106.33) 3.919 <0.001
钾(mmol/L) 4.10(3.80,4.53) 4.20(3.80,4.65) 4.546 <0.001
钠(mmol/L) 138.00(135.50,141.00) 138.00(134.50,141.00) 2.446 0.014
INR 1.30(1.15,1.60) 1.43(1.20,1.95) 11.934 <0.001
PT(s) 14.40(12.75,17.54) 15.80(13.47,20.91) 11.661 <0.001
APTT(s) 31.85(28.00,40.00) 34.35(29.00,46.36) 7.781 <0.001
血尿素氮(mg/L) 78.5(50.0,128.5) 110.7(67.8,175.9) 15.310 <0.001
24 h入量[mL,MP25P75)] 2 933.42(1 574.90,5 348.72) 2 862.38(1 590.34,5 125.64) 0.661 0.508
24 h出量[mL,MP25P75)] 1 910.00(1 197.00,3 000.00) 1 455.00(773.75,2 465.00) 13.687 <0.001
有创机械通气[例(%)] 1 635(36.87) 897(50.74) 100.658 <0.001
血管活性药物[例(%)] 1 934(43.61) 1 182(66.86) 273.273 <0.001
住院天数[d,MP25P75)] 10.40(6.33,17.85) 8.79(4.01,15.99) 9.849 <0.001
ICU住院天数[d,MP25P75)] 2.93(1.75,5.71) 4.17(1.99,8.67) 9.637 <0.001
图1 CAP男性患者年龄与血红蛋白的RCS曲线分析注:CAP.社区获得性肺炎;RCS.限制性三次样条
图2 CAP患者的28 d Kaplan-Meier生存曲线分析注:CAP.社区获得性肺炎;HAR.血红蛋白与年龄比;Q1 ~ Q4组分别为0.650 ≤ HAR <1.200、1.200 ≤ HAR <1.460、1.460 ≤ HAR <1.830、1.830 ≤ HAR ≤ 7.520组;图a为Q1 ~ Q4组CAP患者的Kaplan-Meier生存曲线对比;图b为Q4组与Q1 ~ Q3组CAP患者的Kaplan-Meier生存曲线对比
图3 LASSO回归和Boruta算法筛选变量结果图注:LASSO.最小绝对值收敛和选择算子;APTT.活化部分凝血活酶时间;GCS.格拉斯哥昏迷量表;SpO2.脉搏血氧饱和度;INR.国际标准化比值;PT.凝血酶原时间;HAR.血红蛋白与年龄比;SOFA.序贯器官衰竭评估;OASIS.牛津急性疾病严重度评分;APS.急性生理学评分;图a为交叉验证最佳参数的选择过程图,红色虚线为最小均方误差时的λ值(-6.612),蓝色虚线为均方误差(最小均方误差+ 1个标准误)时的λ值(-4.193);图b为Lasso回归筛选变量动态过程图;图c为多次随机森林分类器运行中,各个特征的重要性得分;图d为Boruta特征筛选每个变量的重要性箱线图
表3 CAP患者入住ICU后28 d内死亡Cox风险回归建模
图4 CAP患者入住ICU后28 d病死率的RCS曲线注:CAP.社区获得性肺炎;RCS.限制性三次样条;CI.置信区间;HAR.血红蛋白与年龄比;根据生命体征、有创机械通气进行调整,其中竖线为阈值线,横线为风险比为1的无效应基准线,阴影表示95%CI
表4 CAP患者入住ICU后HAR与28 d病死率的阈值效应分析
图5 多因素Cox回归诺莫图注:INR.国际标准化比值;APTT.活化部分凝血活酶时间;GCS.格拉斯哥昏迷量表;SpO2.脉搏血氧饱和度;APS.急性生理学评分;HAR.血红蛋白与年龄比;红点代表各指标在评分体系中的具体分值节点,是指标得分的标识;虚线用于连接红点与对应的分数刻度,明确指标得分在分数轴上的位置;下方红色线条和数字对应不同时间节点(7、14、21、28 d)的病死率数值及置信区间,红色线条展示病死率的范围,数字是具体的病死率数值(如7 d病死率为0.152等);黄色区域:代表总分数或各指标评分的分布密度,黄色越密集表示该分数段的样本量或出现频率越高
图6 时间依赖ROC曲线注:ROC.受试者工作特征;AUC.曲线下面积;上方黑色虚线代表"完美预测";下方灰色虚线代表"随机猜测";红色阴影带为各时间点AUC的95%置信区间
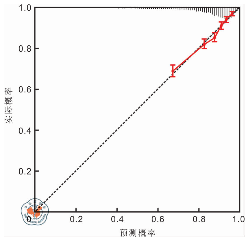
图7 校准曲线
表5 CAP患者28 d内死亡的多因素Cox回归分析
表6 不同亚组CAP患者入住ICU后28 d内病死率风险比的结果
1
GBD 2021 Lower Respiratory Infections and Antimicrobial Resistance Collaborators. Global, regional, and national incidence and mortality burden of non-COVID-19 lower respiratory infections and aetiologies, 1990-2021: a systematic analysis from the Global Burden of Disease Study 2021[J]. Lancet Infect Dis, 2024, 24 (9): 974-1002.
2
Ramirez JA, Wiemken TL, Peyrani P, et al. Adults hospitalized with pneumonia in the United States: incidence, epidemiology, and mortality[J]. Clin Infect Dis, 2017, 65 (11): 1806-1812.
3
Chalmers J, Campling J, Ellsbury G, et al. Community-acquired pneumonia in the United Kingdom: a call to action[J]. Pneumonia (Nathan), 2017, 9: 15.
4
LOVIT-COVID Investigators, on behalf of the Canadian Critical Care Trials Group, and the REMAP-CAP Investigators. Intravenous vitamin C for patients hospitalized with COVID-19[J]. JAMA, 2023, 330 (18): 1745-1759.
5
Tsoumani E, Carter JA, Salomonsson S, et al. Clinical, economic, and humanistic burden of community acquired pneumonia in Europe: a systematic literature review[J]. Expert Rev Vaccines, 2023, 22 (1): 876-884.
6
Fan G, Zhou Y, Zhou F, et al. The mortality and years of life lost for community-acquired pneumonia before and during COVID-19 pandemic in China[J]. Lancet Reg Health West Pac, 2023, 42: 100968.
7
Sharma Y, Mangoni AA, Horwood C, et al. Association between multivitamin use on admission and clinical outcomes in patients hospitalised with community-acquired pneumonia: a case-cohort study[J]. Nutrients, 2024, 16 (23): 4009.
8
Cui XJ, Xie B, Zhu KW, et al. Prognostic value of the platelet, neutrophil, monocyte, basophil, and eosinophil to lymphocyte ratios in patients with severe community-acquired pneumonia (SCAP)[J]. Sci Rep, 2024, 14 (1): 30406.
9
Shin B, Kim SH, Yong SJ, et al. Early readmission and mortality in acute exacerbation of chronic obstructive pulmonary disease with community-acquired pneumonia[J]. Chron Respir Dis, 2019, 16: 1479972318809480.
10
Chen B, Liu W, Chen Y, et al. Effect of poor nutritional status and comorbidities on the occurrence and outcome of pneumonia in elderly adults[J]. Front Med (Lausanne), 2021, 8: 719530.
11
Su F, Cao L, Ren X et al. Age and sex trend differences in hemoglobin levels in China: a cross-sectional study[J]. BMC Endocr Disord, 2023, 23 (1): 8.
12
Yang C, Xue Y, You Z, et al. Nonlinear relationship between hemoglobin-to-age ratio and all-cause mortality in patients with septic shock: a retrospective cohort study in the MIMIC-Ⅳ database[J]. PLoS One, 2024, 19 (12): e0313937.
13
Johnson AEW, Bulgarelli L, Shen L, et al. MIMIC-Ⅳ, a freely accessible electronic health record dataset[J]. Sci Data, 2023, 10 (1): 1.
14
Degenhardt F, Seifert S, Szymczak S. Evaluation of variable selection methods for random forests and omics data sets[J]. Briefings in Bioinformatics, 2017, 20 (2): 492-503.
15
奚丽婧,郭昭艳,杨雪珂,等. LASSO及其拓展方法在回归分析变量筛选中的应用[J].中华预防医学杂志202357(1):107-111.
16
Metlay JP, Waterer GW, Long AC, et al. Diagnosis and treatment of adults with community-acquired pneumonia. An official clinical practice guideline of the American Thoracic Society and Infectious Diseases Society of America[J]. Am J Respir Crit Care Med, 2019, 200 (7): e45-e67.
17
张莉,宁璞,荣芳,等.不同时期成人重症社区获得性肺炎预后及病原体的变迁[J].中华医学杂志201797(5):332-337.
18
Rhodes CE, Denault D, Varacallo MA. Physiology, oxygen transport[M]. In: StatPearls. Treasure Island (FL): StatPearls Publishing, 2025.
20
Shirata M, Ito I, Ishida T, et al. Development and validation of a new scoring system for prognostic prediction of community-acquired pneumonia in older adults[J]. Sci Rep, 2021, 11 (1): 23878.
21
Awasthi S, Pandey AK, Mishra S, et al. Identifying risk of death in children hospitalized with community-acquired pneumonia[J]. Bull World Health Organ, 2023, 101 (4): 281-289.
22
Truckenmueller P, Wolf S, Wasilewski D, et al. Association of fluid balance and hemoglobin decline with neurological outcome after aneurysmal subarachnoid hemorrhage[J]. Crit Care Med, 2024, 52 (9): 1391-1401.
23
Saha D, Patgaonkar M, Shroff A, et al. Hemoglobin expression in nonerythroid cells: novel or ubiquitous?[J]. Int J Inflam, 2014, 2014: 803237.
24
Olari LR, Bauer R, Gil Miró M, et al. The C-terminal 32-mer fragment of hemoglobin alpha is an amyloidogenic peptide with antimicrobial properties[J]. Cell Mol Life Sci, 2023, 80 (6): 151.
25
Ewig S, Bauer T, Richter K, et al. Prediction of in-hospital death from community-acquired pneumonia by varying CRB-age groups[J]. Eur Respir J, 2013, 41 (4): 917-922.
26
Kothe H, Bauer T, Marre R, et al. Outcome of community-acquired pneumonia: influence of age, residence status and antimicrobial treatment[J]. Eur Respir J, 2008, 32 (1): 139-146.
27
Stauder R, Valent P, Theurl I. Anemia at older age: etiologies, clinical implications, and management[J]. Blood, 2018, 131 (5): 505-514.
28
丁丽青,蒋慧芳,蒋玉霞,等.血液恶性肿瘤合并新型冠状病毒感染核酸长期阳性的影响因素分析[J/OL].中华危重症医学杂志(电子版)202417(5):399-402.
[1] 徐留海, 王颉, 田志鹏, 黄晶, 曾勇, 王茂朋, 刘丛钊, 周游. 影响盘状半月板损伤术后疗效的危险因素研究[J/OL]. 中华关节外科杂志(电子版), 2025, 19(05): 528-534.
[2] 李发英, 马杰, 于国英. 755例慢性丙型肝炎患者临床特征及进展为肝硬化的影响因素[J/OL]. 中华实验和临床感染病杂志(电子版), 2025, 19(05): 279-287.
[3] 钱何布, 朱林, 姚月平, 姚峰, 李玉卓, 马家驹, 晏倩, 倪晓艳. 应用机器学习建立脓毒性休克患者住院28天死亡预测模型及验证[J/OL]. 中华实验和临床感染病杂志(电子版), 2025, 19(05): 288-297.
[4] 祖力皮喀尔·图孙尼亚孜, 何荣东, 蒋铁民, 温浩. 老年单纯胆总管结石患者行腹腔镜胆总管探查取石术和内镜逆行胰胆管造影联合十二指肠乳头括约肌切开术的临床疗效与危险因素分析[J/OL]. 中华普通外科学文献(电子版), 2025, 19(05): 325-331.
[5] 陈系东, 王绍闯, 赵何伟, 王硕, 袁维栋. 高龄BCLC B期肝癌患者常规TACE术后急性肝功能恶化的危险因素研究[J/OL]. 中华普外科手术学杂志(电子版), 2025, 19(06): 689-692.
[6] 钱龙, 蔡大明, 王行舟, 艾世超, 胡琼源, 孙锋, 宋鹏, 王峰, 王萌, 陆晓峰, 朱欢欢, 沈晓菲, 管文贤. 局部不可切除胃癌转化治疗(联合免疫治疗)后淋巴结转移的相关危险因素分析[J/OL]. 中华普外科手术学杂志(电子版), 2025, 19(06): 624-627.
[7] 周福安, 陈戬. 经皮肾镜碎石取石术后肾功能恶化的围术期影响因素研究进展[J/OL]. 中华腔镜泌尿外科杂志(电子版), 2025, 19(06): 792-795.
[8] 陈伟东, 赵力, 罗辉, 张汉荣, 李金雨. 经皮肾镜碎石取石术后引起胸腔积液的防治[J/OL]. 中华腔镜泌尿外科杂志(电子版), 2025, 19(06): 796-799.
[9] 钟秋润, 严丹檎, 范小莉, 陈蓉, 罗坤. 腹股沟疝修补术后发生血清肿危险因素的Meta分析[J/OL]. 中华疝和腹壁外科杂志(电子版), 2025, 19(06): 701-706.
[10] 陈宁, 赵欣, 周园, 刘兵, 窦进, 王健, 张晓雨, 赵海剑. 预测绞窄性与非绞窄性腹股沟嵌顿疝:一项基于多变量逻辑回归的预测模型研究[J/OL]. 中华疝和腹壁外科杂志(电子版), 2025, 19(05): 539-543.
[11] 高瞻, 唐莎莎, 秦蘅, 王关嵩, 张雯. 慢性阻塞性肺疾病合并肺癌的临床特征及危险因素分析[J/OL]. 中华肺部疾病杂志(电子版), 2025, 18(05): 685-690.
[12] 陈靓, 曾义, 高安亮, 冯杰, 李春玲, 陈隆益, 徐如祥, 何永生. NICU自发性脑出血患者急诊开颅术后医院获得性肺炎的危险因素分析[J/OL]. 中华神经创伤外科电子杂志, 2025, 11(04): 250-255.
[13] 袁慧, 周芦忠, 汤鹤年, 潘菊花. LMR与PHR对射频消融术后肝细胞癌患者预后的评估[J/OL]. 中华消化病与影像杂志(电子版), 2025, 15(06): 635-641.
[14] 臧丽, 陈丽, 于娟. 炎症性肠病患者自我效能及睡眠质量与心理状态的关系[J/OL]. 中华消化病与影像杂志(电子版), 2025, 15(05): 546-551.
[15] 姜彤彤, 戎萍, 马融, 付乾芳, 张亚同, 赵书艺, 刘晖, 马榕, 李悦, 李瑞本. 抽动障碍儿童呼吸道感染后的临床特征及抽动症状加重的危险因素分析[J/OL]. 中华临床医师杂志(电子版), 2025, 19(06): 426-432.
阅读次数
全文


摘要


AI


AI小编
你好!我是《中华医学电子期刊资源库》AI小编,有什么可以帮您的吗?